虚阁网 > 古典戏曲 > 西游记 | 上页 下页
杨景贤简介


  杨景贤,初名暹,后改讷,字景贤,一字景言。元末明初人,生卒年不详。其先为蒙古人,移居钱塘,自幼随姐夫杨氏长大,故从其姓。

  《录鬼簿续编》云其“善琵琶,好戏谑,乐府出人头地。锦阵花营,悠悠乐志。与余交五十年。永乐初,与舜民一般遇宠。后卒于金陵”。

  其杂剧据《录鬼簿续编》共有十八本:《天台梦》、《生死夫妻》、《玩江楼》、《偃时救驾》、《西湖怨》、《为富不仁》、《待子瞻》、《三田分树》、《西游记》、《红白蜘蛛》、《巫娥女》、《保韩庄》、《刘行首》、《盗红销》、《鸳鸯宴》、《东岳殿》、《海棠亭》、《两团圆》等。现存只有《西游记》、《刘行首》两种,《刘行首》写全真道人马丹阳度脱妓女刘倩娇故事。《玩江楼》和《天台梦》仅存残曲,尚有争议。
  
  杨氏善隐语,明李开先《闲居集·诗禅后序》:“诗禅取容于东方朔,而朔实滥觞。鲍照、张可久,及我朝杨景言,皆千枝一本,千流一源者也。”田汝成《西湖游览志馀》亦云:“古之所谓廋词,即今之隐语也,而俗谓之谜,杭人元夕多以此为猜灯,任人商略。永乐初,钱塘杨景言以善谜名。成祖时重语禁,召景言入直,以备顾问。”

  ***

  朱权《太和正音谱》云其“词如雨中之花”。散曲代表作有:

  《中吕·红绣鞋·咏虼蚤》

  小则小偏能走跳,咬一口一似针挑,领儿上走到裤儿腰。眼睁睁拿不住,身材儿怎生捞?翻个筋斗不见了。

  《中吕·普天乐·嘲汤舜民戏妓》

  宁可效陶潜,休要学双渐。觑了你腰驼背曲,说甚么撒正庞甜。你拳如斩马刀,舌似吹毛剑,你将节风月须知权休念。三般儿惹得人嫌,间花头发,烧葱醮鼻,和粉髭髯。

  《商调·二郎神·怨别》(套数)

  景萧索,迤逦秋光渐老。隐隐残霞如黛扫,暮天阔烟水迢迢。数簇黄花开烂漫,败叶儿淅零零乱飘。无聊,绿依依翠柳,满目荒芜衰草。

  〖梧叶儿〗凄凄凉凉恹渐病,悠悠荡荡魂魄消,失溜疏剌金风送竹频摇。渐渐的黄花瘦,看看的红叶老。题起来好心焦,恨则恨离多会少。

  〖二郎神幺篇〗记伊家幸短,枉着人烦烦恼恼。快快归来入绣幕,想薄情镇日魂消。乍离别难弃舍,索惹的恹恹瘦却。

  〖金菊香〗多应他意重我情薄,既不是可怎生雁帖鱼缄音信杳。相别时话儿不甚好,恨锁眉梢,越思量越思想越添焦。

  〖浪来里煞〗情怀默默越焦躁,冷冷清清更漏迢,盈盈业眼不暂交。画烛荧荧,他也学人那泪珠儿般落。畅道有几个铁马儿铎。琅琅的空聒噪,响珊珊梆梆的寒砧捣。呀呀的塞雁南飞,更和着那促织儿絮叨叨更无了。

  ***

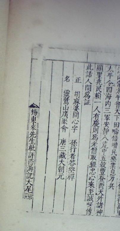
  《西游记》杂剧今存最早版本为明万历四十二年(1614)刻本,六卷,题《杨东来先生批评西游记》,署“元吴昌龄撰”,1928年发现于日本,今存日本内阁文库。下为影印本影像↓
杂剧西游记1
杂剧西游记2
杂剧西游记3
杂剧西游记4
杂剧西游记5
杂剧西游记6
杂剧西游记7
杂剧西游记8
杂剧西游记9

虚阁网(Xuges.com)
上一页 回目录 回首页 下一页